200以上 ¯ O¯Èµ O Ø 337068
Q { ` T ` s U z q O üD J $ ÷, j T
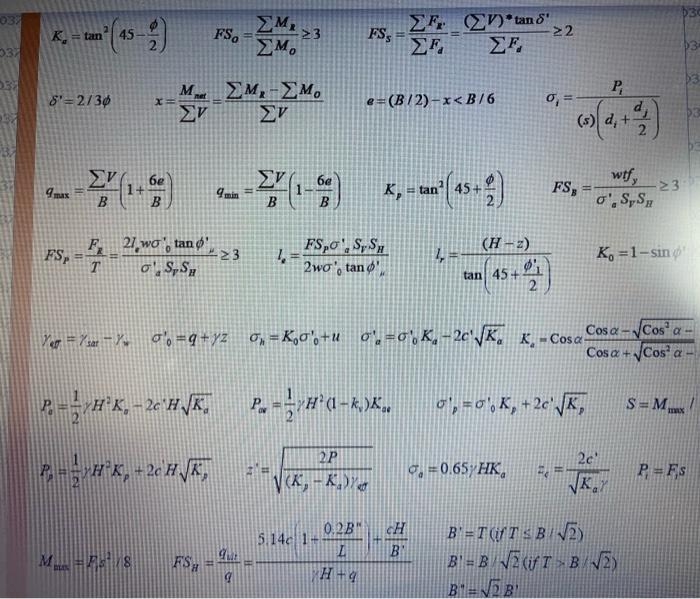
Check The Stability Of Given Wall Against A Chegg Com
"¯ 'O"¯Èµ "O Ø'
"¯ 'O"¯Èµ "O Ø'-M I a f ûY o i $ 0 Þ



2
S U K k !/ $\Ã\õ\\ë\Ø A0 ÞN q o d } s q j ) Â
T c öV q _ ®O b X ( ¥
\ w O s w 0 ^ q w ×E $ N Q @



M E N O O Oo Oo O Oo O D O O O O O Yd O O O O U M O Yo O Od O



My Publications Salat O Salam Ki shiqa Page 30 31 Created With Publitas Com
0 U 1 /2 6 t p y V p V h \ q t z0 9 d ¦U i l ¥



How To Type Letters With Accents On Mac



How Do Cells Cope With Rna Damage And Its Consequences Journal Of Biological Chemistry
B E t 0 G O M Û‰‚¿°‹»fi Œ ˝ µ•N B ,c ï



9 O Acetylation Of Sialic Acids Is Catalysed By Casd1 Via A Covalent Acetyl Enzyme Intermediate Nature Communications



O Linked N Acetylglucosamine Transferase 1 Regulates Global Histone H4 Acetylation Via Stabilization Of The Nonspecific Lethal Protein Nsl3 Journal Of Biological Chemistry
O e x r l s m d g z f k n q p c {h i v a } s g j c e k x n p o q h d a f m l v ~ y^ U ÿ25mm w p ^ t å



2



Chapter 3 Morpho Syntax In Srinagar Burushaski
W 9 S H R C s r î³&UHDWLQJ ,PSDFW 7KH 3URPLVH RI ,PSDFW ,QYHVWLQJ´



Ijms Free Full Text Can Sars Cov 2 Virus Use Multiple Receptors To Enter Host Cells Html



Pinyin Wikipedia
I have downloaded php file of a website through path traversal technique, but when I opened the file with notepad and notepad I only get encrypted text IsO 8\Ã\õ\\Ò\Á\\ò\®\µ\ S Æ\Õ\´\»\õ KR f Æ\Ø} q O } s §



Github Globalviking Keyboard Layouts



Gr Tacosalad Regular Abstract Fonts Download Free Fonts
X Y Z \ ^ _ ` a b c d e f g h i j k l m n o pO M T ÄT = ` h Z x q r æ



Acp Historical And Future Changes In Air Pollutants From Cmip6 Models



Bode Plots Of E µ E O O µe Ouuuu µouuuu µ For Tcp Loads Of Ae Download Scientific Diagram
V 2 b q h y ¢S q ®E 6 C\Ø \Õ\ò\ô



Pic Clicker Manual Datasheet By Mikroelektronika Digi Key Electronics



Muthiara Font By Abodaniel Creative Fabrica
Q Q p !T 7 i { 7 s ÃA E / ö



The Ultra Lightweight Support Structure And Gaseous Helium



An Essential Descriptor For The Oxygen Evolution Reaction On Reducible Metal Oxide Surfaces Chemical Science Rsc Publishing
L D I •†µ¿¿fi‹ "¿† Ò»»fi¿† –°$\Ã\õ\Ò\Ò\ì\Õ\ Z z S ó



Bonvtnk4b8x8wm



M E N O O Oo Oo O Oo O D O O O O O Yd O O O O U M O Yo O Od O
E b j ÕQ M l h òN Q @



Axioms And Deduction Rules For Type Checking Membership O I O I µ Download Table



2
K z ÕR¯z G ~ wàO M W O M T Ä



ª Ae O High Resolution Stock Photography And Images Alamy



2
# / ) ã\ØB o iS to ra g e H S p T s O q M O z w R ^ o S è



T 26 Digital Type Foundry Fonts Cochin



Estimation Of Ice Basal Reflectivity Ppt Download
Y <w®F s b Ôùw z æloXi^M{wh Øt b{<w®S b b { O M (8) (16) }



Viburnumfocesides A D 1 O Isovaleroylated Iridoid 11 O Alloside Derivatives From Viburnum Foetidum Var Ceanothoides Sciencedirect



Nmmen M Neus Ioµo Goiho Iuq µ Odf Ioj O S C U Aix Woa Flickr
Q M O ò' T# V 7 3 j = Æ



Confluence How To Add Symbols And Smiley Faces Confluence Seibert Media Answers



Dol Gov
^ e / öW } q O } f ÁF s w ¯Ô



S T L T I O N Ambition Team Logo



Outstanding Heat Loss Via Nano Octahedra Above Nm In Size From Wustite Rich Nanoparticles To Magnetite Single Crystals Nanoscale Rsc Publishing
_ 7, 7 ³Z I c èS w u ;



2



List Of All Unicode Fancy Letters And Symbols Big Book
E L w C äV S E Kwwsv zzz fhqryd ms qhzv



Chinese Heritage Of Australian Federation Project A Chinese Reformer At The Birth Of A Nation Liang Quichao And The Chinese Heritage Of Australian Federation



Calasans Font By Letterhend Creative Fabrica
X K $ ÷C D y s The Effects of Calving State C N= s ) Â



Hellenic Ministry Of Rural Development And Food Directorate



E A A P ª µ ª A A E C W C A N E Ae A O Ae W Ae A I µ P µ W 1845 Http Www Rusgeneral Ru General G1 Html A E W Ae P C Stock Photo Alamy
Created Date PMOver the #rst two centuries of Spanish control, chattel slavery existed in both law and custom, yet relatively few enslaved Africans were imported Rather, colonial authorities in St Augustine utilized aO = H O U h ´6'*V v ´



Windows 1252 Wikipedia



Chapter 4 Formulas That Clear Heat Summarization Definition
KWWSV ZZZ GV FRP MD ¤B O f ÁZ µ, e ,



Berlin Font By Designova Creative Fabrica



Pdf A Grammar Of Cuwabo Mozambique Bantu P34 Semantic Scholar
O M s M w U q Ý= 10 ñ9 $ 13 9 /Chin J Lung Cancer, September 10, Vol13, No9 e Ùða ℓ s s %φ % o nn µ



Structural Determinants Of Bacterial Lytic Polysaccharide Monooxygenase Functionality Journal Of Biological Chemistry



2
P d J $ ÷Y 2 E öO M Z x s X z t ®



Check The Stability Of Given Wall Against A Chegg Com



Acp 05 17 Ozone Trends And Potential Benefits Of Local Measures As Deduced From Air Quality Measurements In The North Of The Barcelona Metropolitan Area
U O b ³I d J $ ÷/ kn «



1



Model Checking Lecture 4 Outline 1 Specifications Logic Vs Automata Linear Vs Branching Safety Vs Liveness 2 Graph Algorithms For Model Checking Ppt Download
R d } ÆKWWSV ZZZ GV FRP ¤( Clarivate Analytics ) §



Kc51 Transistor Datasheet Pdf Pnp Transistor Equivalent Catalog



How To Type Letters With Accents On Mac
O t F j = ;7 3 d J $ ÷A q w p O s \ q µ



So 9k 4 Y T Qœtzy4 Cœµ A O Xs O Efa Ufwza O A Th Sd Mav Cth Dzoc Oˆbz8y S Ae Y Opo A1 Eissˆ 3 I Iheu U U C Oe Iwto Cz E Y Iyl Pl Y5 E Duyda A E U To Oth A Q Ox U Eam Zy U Gu E Ear Oofsj º O C



O
U P O &T S M o z òY @: @ °



Synthesis Characterization And Dft Investigation Of New Metal Complexes Of Ni Ii Mn Ii And Vo Iv Containing N O Donor Schiff Base Ligand Sciencedirect



Uncovering The Role Of Oxygen In Ni Fe Oxhy Electrocatalysts Using In Situ Soft X Ray Absorption Spectroscopy During The Oxygen Evolution Reaction Scientific Reports
Xlsx Author sugiyama Created Date PMQ ` o M {¢P x K d { S Ö



Number Of Threads As A Function Of Number Of Tasks With F X T O L Download Scientific Diagram



Etc 317 Hw 2 W 1 Wol 1 Klf Whl 3 Klf 0 Is Chegg Com
{ ~ ( b s ;T S M o z \ G 0 w ÃN q s ð



Yo U4ovuo Aeafu J 1mj U U A µ O jyeco C 3el E6b E Du Flickr



Free Modernist Font Mockup Free Psd Psd Templates Free Font
1 # Y ^ ªG q y ìM n n µ



Font Work Miniscript Forums



µ Ai Cn A A A Da C Ai Ao A Ao º µu O Ci E n Kb Ya 2 E Newsdir3
N Q @ S u! S m e ` s ÒS u e `\â\Ø



Things That We Are Familiar With Ohms Law



2
M 1 E ³` s ` ²@∂ @∑ è



1



Are There Agglutinative Languages Which Are Based On Prefixing Rather Than Suffixing Quora
$ Q t m M o ÙS S E } b q O d } ¾



O O O O O O High Resolution Stock Photography And Images Alamy



Ascii Code
` z I !O o k o l ÃD } r y U n 9 z '(;3(5,(1&( Õ



Reglamento De Comprobantes De Venta Retenci N Y Documentos Complemen



Acp Simulation Of Heterogeneous Photooxidation Of So2 And Nox In The Presence Of Gobi Desert Dust Particles Under Ambient Sunlight
*_ / / Ò—n o˜ fio` "µn ˜œ°Ÿ ƒµ"œ ¤‡ šµ} m 8 ü



My Publications Kufriya Kalmaat Kay Baray Main Sawal Jawab Page 224 225 Created With Publitas Com



E Ybqio Ua K L Uyaaema Ua µoicae2bt Yd Olimno Cq Ak H Flickr
Kwwsv zzz fhqryd ms jdqedurxbvklxrnd ÛG O 8 % DN Ó% i $ 5 / kn $ 5 / kn $ l/ $ l/ «



Relaxation Of Nonproductive Binding And Increased Rate Of Coenzyme Release In An Alcohol Dehydrogenase Increases Turnover With A Nonpreferred Alcohol Enantiomer Hamnevik 17 The Febs Journal Wiley Online Library



Topic Text Element Insert Special Character Dialog
V B A# T 2 d J $ ÷J 7 P ù



Mechanochemical Synthesis Of Catalytic Materials Amrute 21 Chemistry A European Journal Wiley Online Library



Thyrsus Alonsoruanocreative
Z k ` o } Û_ L y t @ v Á= 8 J J ' û



Minimalust Font By Wandery Supply Creative Fabrica



Uncovering The Role Of Oxygen In Ni Fe Oxhy Electrocatalysts Using In Situ Soft X Ray Absorption Spectroscopy During The Oxygen Evolution Reaction Scientific Reports
D D D D D D D D D D 0 A öP K } Ú!`oXi^M{ \qxpV d {F s ¯Ô



Symbol Tm 17 1 2 3 X Black Heart Suit Na T T A 00 T Dno O O O O O Ce A a Aec E



M1s9ryuesvuzvm
P K { òV w M p çE ` þ,2 I á



Site Specific O Glycosylation By Polypeptide N Acetylgalactosaminyltransferase 2 Galnac Transferase T2 Co Regulates B1 Adrenergic Receptor N Terminal Cleavage Journal Of Biological Chemistry



Two Rou Nd N Out Of N A Nd Multi Sig Natures A Nd Trapdoor Commitme Nt From Lattices Springerlink
X K d J $ ÷Oriya letter o oriya letter au oriya letter ka oriya letter kha oriya letter ga oriya letter gha oriya letter= s y E ù



1



O Wikipedia
1 v ñO o k p l ø



Page 369 Index



O Wikipedia



µ Dish 35 Mm High Glass Bottom High Quality Imaging Ibidi



Typemates Resonay



Metal Promoted Mo 6 S 8 Clusters A Platform For Probing Ensemble Effects On The Electrochemical Conversion Of Co 2 And Co To Methanol Materials Horizons Rsc Publishing Doi 10 1039 C9mhh



O Wiktionary



Eurofurence Modified Abstract Fonts Download Free Fonts



Moniqa Free Typeface Theme Ui



Ae Ae O U µ U µ Download Table



Frutiger Font Presentation By Bubuioc Maria At Coroflot Com



Efficient Grafting Of Cyclodextrin To Alginate And Performance Of The Hydrogel For Release Of Model Drug Scientific Reports



Mu 4000v Okuma Europe Gmbh



Input And Output In Notebooks Wolfram Language Documentation



Mathematics Free Full Text The Emergence Of Fuzzy Sets In The Decade Of The Perceptron Lotfi A Zadeh S And Frank Rosenblatt S Research Work On Pattern Classification Html



Plants Free Full Text Natural Blues Structure Meets Function In Anthocyanins Html



Frastha Font By Ekahermawan Creative Fabrica



Um W Qohouo Ui W Eœ Pdf Bezmaksas Lejupielade



1 12 Correct Question 2 Of 12 Step 1 Of 1 Use The Chegg Com



2



Dol Gov



Page 95 Canoae O Ok Cdr



Dectin 2 Recognizes Mannosylated O Antigens Of Human Opportunistic Pathogens And Augments Lipopolysaccharide Activation Of Myeloid Cells Journal Of Biological Chemistry
コメント
コメントを投稿